Página 1 de 1
Matemática Discreta - Prova por indução e direta
Enviado: 12 Mai 2011, 20:24
por Carina
Olá pessoal, nuca precisei provar teoremas só resolver exercícios mas agora que comecei discreta não tô entendendo, alguém pode me ajudar?
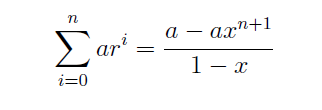
Dê uma prova direta e por indução para:

- Equação Tutorial.png (4.06 KiB) Exibido 2810 vezes
para x
[tex3]\neq[/tex3] 1;
Re: Matemática Discreta - Prova por indução e direta
Enviado: 12 Mai 2011, 21:16
por FilipeCaceres
Por acaso não seria [tex3]\frac{a-a.r^{n+1}}{1-r}[/tex3]
Vou fazer para forma direta:
Observe que esta progressão é uma PG, assim temos
[tex3]a_1=a[/tex3]
[tex3]q=r[/tex3]
[tex3]num.\,termos=n+1[/tex3] ,pois vai de 0 até n
Assim temos,
[tex3]S_n=\frac{a(1-r^{n+1})}{1-r}\,para\,r\neq 1[/tex3]
Portanto,
[tex3]\boxed{S_n=\frac{a-a.r^{n+1}}{1-r}\,para\,r\neq 1}[/tex3]
Re: Matemática Discreta - Prova por indução e direta
Enviado: 14 Mai 2011, 12:17
por Auto Excluído (ID:276)
Oi, Carina e Filipe.
Forma direta:
[tex3]S_n = \sum_{i=0}^{n}ar^i= a + ai + ai^2 + ... + ai^{n-1} + ai^n[/tex3]
[tex3]S_n \cdot i = ai + ai^2 + ai^3 + ... + ai^{n+1}[/tex3]
[tex3]S_n \cdot i - S_n = ai^{n+1} - a \Rightarrow S_n(i-1) = a(i^{n+1} - 1) \Rightarrow S_n = \frac{a(i^{n+1} - 1)}{i-1}[/tex3] [tex3], \forall i \neq 1[/tex3]
A forma indutiva só nos trás a prova para subconjuntos dos números naturais!
Admitimos que a sentença seja válida para
[tex3]i \neq 1[/tex3],
[tex3]i \in \mathbb{N}[/tex3]
[tex3]n=1[/tex3] :
[tex3]S_1 = \frac{a(i^2 - 1)}{i-1} = a + ai[/tex3] [tex3]OK[/tex3]
Agora, se a sentença aberta for válida para algum
[tex3]n \in \mathbb{N}[/tex3] , temos de provar que ela é válida para
[tex3]n+1[/tex3] :
para n :
[tex3]S_n = \frac{a(i^{n+1} - 1)}{i-1}[/tex3]
numa prova rigorosa teriamos de definir por recorrência que o termo de ordem n+2 é
[tex3]ai^{n+1}[/tex3], mas subentendendo-se isso:
[tex3]S_{n+1} = S_n + ai^{n+1} = \frac{a(i^{n+1} - 1)}{i-1} + iq^{n+1} = \frac{a(i^{n+1} - 1) + (i-1)ai^{n+1}}{i-1} =[/tex3]
[tex3]\frac{ai^{n+1} - ai^{n+1} - a + ai^{n+2}}{i-1} = \frac{ai^{n+2} - a}{i-1} = \frac{a(i^{n+2} - 1)}{i-1}[/tex3] [tex3]OK[/tex3]
Logo, ela é válida para todo
[tex3]n \in \mathbb{N} , i \neq 1[/tex3]
Sugiro que você leia esta apostilinha do Abramo Hefez sobre Indução matemática, que é usada nos cursos de iniciação científica jr da OBMEP :
http://www.obmep.org.br/export/sites/de ... nducao.pdf
Valeu. Bom final de semana a todos.