• 🔴 [ENEM 2025 PPL Live 03] Matemática - Resolução de 146 até 150
  • 🔴 [ENEM 2025 PPL Live 02] Matemática - Resolução de 141 até 145
  • 🔴 [ENEM 2025 PPL Live 01] Matemática - Resolução de 136 até 140
  • 🔴 [ENEM 2025 Belém Live 09] Matemática - Resolução de 176 até 180
  • 🔴 [ENEM 2025 Belém Live 08] Matemática - Resolução de 171 até 175
  • 🔴 [ENEM 2025 Belém Live 07] Matemática - Resolução de 166 até 170

IME/ITA(ITA) Reação Ácido-Base Tópico resolvido

Aqui deverão ser postadas questões desses vestibulares e de outras instituições militares (EN, CN, EsPCEx etc.).
Avatar do usuário
jhonim Offline
2 - Nerd
Mensagens: 217
Registrado em: 22 Ago 2012, 18:38
Agradeceu: 59 vezes
Agradeceram: 118 vezes
Dez 2012 21 18:54

(ITA) Reação Ácido-Base

Mensagem por jhonim »

Indique a opção que contém a equação química de uma reação ácido-base na qual a água se comporta como base.

a) [tex3]NH_3\,+H_2O\,\overleftarrow{\rightarrow}\,NH_4OH[/tex3]
b) [tex3]NaNH_2\,+H_2O\,\overleftarrow{\rightarrow}\,NH_3\,+NaOH[/tex3]
c) [tex3]Na_2CO_3\,+H_2O\,\overleftarrow{\rightarrow}\,NaHCO_3\,+NaOH[/tex3]
d) [tex3]P_2O_5\,+3H_2O\,\overleftarrow{\rightarrow}\,2H_3PO_4[/tex3]
e) [tex3]TiCl_4\,+2H_2O\,\overleftarrow{\rightarrow}\,TiO_2\,+4HCl[/tex3]

Gabarito:
Resposta

Alternativa D. Como consigo diferenciar se a água se comportou como ácido ou como base?
Editado pela última vez por jhonim em 21 Dez 2012, 18:54, em um total de 1 vez.
"Eppur si muove" - Galileo Galilei em 1633, depois de ser forçado a renegar a ideia heliocêntrica perante o tribunal da Inquisição.
Avatar do usuário
theblackmamba Offline
6 - Doutor
Mensagens: 3723
Registrado em: 23 Ago 2011, 15:43
Localização: São Paulo - SP
Agradeceu: 806 vezes
Agradeceram: 2294 vezes
Dez 2012 21 20:42

Re: (ITA) Reação Ácido-Base

Mensagem por theblackmamba »

Olá Jhonim,

Você pode utilizar a Teoria de Brönsted-Lowry:

Ácido: uma espécie que cede prótons [tex3]H^+[/tex3].
Base: uma espécie que recebe prótons [tex3]H^+[/tex3].

E também a Teoria de Lewis:

Ácido: uma espécie que recebe pares eletrônicos isolados.
Base: uma espécie que doa pares eletrônicos isolados.

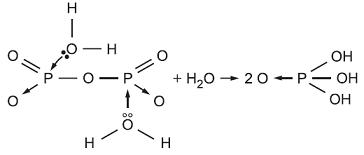
Perceba que na formação do ácido fosfórico as duas moléculas de água doa 2 pares eletrônicos isolados. Logo, neste caso a água é uma base.
base.JPG
base.JPG (6.36 KiB) Exibido 6367 vezes
Só para dar um exemplo como a água se comportou como um ácido, veja a primeira equação:

[tex3]NH_3+H_2O \rightleftharpoons NH_4^++OH^-[/tex3]. Note que a amônio recebeu um próton [tex3]H^+[/tex3], logo a água se comportou como ácido. Agora tente perceber este fato nas outras equações.

Espero ter ajudado.
Abraço.
Editado pela última vez por caju em 10 Mar 2025, 19:55, em um total de 4 vezes.
Razão: tex --> tex3
"A coisa mais incompreensível do universo é que ele é compreensível"
- Albert Einstein
Avatar do usuário
jhonim Offline
2 - Nerd
Mensagens: 217
Registrado em: 22 Ago 2012, 18:38
Agradeceu: 59 vezes
Agradeceram: 118 vezes
Dez 2012 21 20:56

Re: (ITA) Reação Ácido-Base

Mensagem por jhonim »

Ótima resposta! Muito obrigado.
"Eppur si muove" - Galileo Galilei em 1633, depois de ser forçado a renegar a ideia heliocêntrica perante o tribunal da Inquisição.
Avatar do usuário
Auto Excluído (ID:20808)
Mai 2018 17 04:01

Re: (ITA) Reação Ácido-Base

Mensagem por Auto Excluído (ID:20808) »

Novo Documento 2018-05-17 (2)_1.jpg
Novo Documento 2018-05-17 (2)_1.jpg (109.37 KiB) Exibido 4072 vezes
Segundo meus mecanismos, b), c) e d) a água também se comportou como ácido e base ao mesmo tempo. O que acham?
Editado pela última vez por Auto Excluído (ID:20808) em 17 Mai 2018, 04:03, em um total de 1 vez.
Responder
  • Tópicos Semelhantes
    Resp.
    Exibições
    Últ. msg

Voltar para “IME/ITA”