• 🔴 [ENEM 2025 PPL Live 03] Matemática - Resolução de 146 até 150
  • 🔴 [ENEM 2025 PPL Live 02] Matemática - Resolução de 141 até 145
  • 🔴 [ENEM 2025 PPL Live 01] Matemática - Resolução de 136 até 140
  • 🔴 [ENEM 2025 Belém Live 09] Matemática - Resolução de 176 até 180
  • 🔴 [ENEM 2025 Belém Live 08] Matemática - Resolução de 171 até 175
  • 🔴 [ENEM 2025 Belém Live 07] Matemática - Resolução de 166 até 170

Físico-QuímicaInterações moleculares Tópico resolvido

Avatar do usuário
Nathaly Offline
Junior
Mensagens: 12
Registrado em: 03 Jul 2014, 17:04
Agradeceu: 10 vezes
Agradeceram: 1 vez
Jul 2014 14 18:55

Interações moleculares

Mensagem por Nathaly »

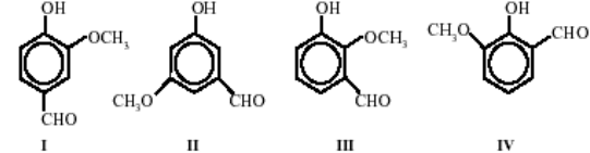
UFMG- A estrutura I representa a vanilina, molécula responsável pelo aroma da baunilha, e as estrutura II, III e IV representam três de seus isômeros:

Todas essas moléculas podem formar ligações de hidrogênio entre grupos pertencentes à mesma molécula, EXCETO.

a)I b) II c) III d) IV

Resposta

B
Por favor me ajudem.


GRATA.
Anexos
13_3_315_1.PNG
13_3_315_1.PNG (18.57 KiB) Exibido 11860 vezes
Editado pela última vez por Nathaly em 14 Jul 2014, 18:55, em um total de 1 vez.
Avatar do usuário
VALDECIRTOZZI Offline
5 - Mestre
Mensagens: 2569
Registrado em: 04 Ago 2008, 17:08
Agradeceu: 197 vezes
Agradeceram: 1599 vezes
Jul 2014 15 07:47

Re: Interações moleculares

Mensagem por VALDECIRTOZZI »

Repare que além do grupo [tex3]-OH[/tex3], o anel benzênico possue ligado a ele o grupo [tex3]-CHO[/tex3], que é um aldeído e o grupo [tex3]-O-CH_3[/tex3] que é um éter.
As pontes de hidrogênio são feitas entre átomos de oxigênio e o grupo OH que estejam próximos, fato que pode ser observado nas moléculas I, II e IV.
Na molécula II há uma distância maior entre esses grupos, além do problema de geometria da molécula, que impedem as formações das pontes de hidrogênio.

Espero ter ajudado!
Editado pela última vez por caju em 05 Mar 2025, 16:03, em um total de 2 vezes.
Razão: tex --> tex3
So many problems, so little time!
Avatar do usuário
Nathaly Offline
Junior
Mensagens: 12
Registrado em: 03 Jul 2014, 17:04
Agradeceu: 10 vezes
Agradeceram: 1 vez
Jul 2014 15 07:50

Re: Interações moleculares

Mensagem por Nathaly »

Obrigada !! :D
Responder
  • Tópicos Semelhantes
    Resp.
    Exibições
    Últ. msg

Voltar para “Físico-Química”