Página 1 de 1
(Facamp-2015) Sistema de Equações com módulo
Enviado: 02 Nov 2014, 10:49
por gabemreis
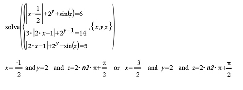
Encontre todos os valores de [tex3]x, y, z[/tex3] que satisfazem ao sistema de equações:
[tex3]|x - \frac{1}{2}| + 2^y + senz = 6[/tex3]
[tex3]3|2x-1| + 2^{y+1} = 14[/tex3]
[tex3]|2x-1| + 2^y - senz = 5[/tex3]
Re: (Facamp-2015) Sistema de Equações com módulo
Enviado: 08 Fev 2015, 06:20
por olgario
Olá, a única ajuda que lhe posso dar é a que segue abaixo.

- Sistema de equações.jpg (37.44 KiB) Exibido 1454 vezes
Se bem que a ajuda já venha tarde,vale mais tarde do que nunca.
Abraço
Re: (Facamp-2015) Sistema de Equações com módulo
Enviado: 08 Fev 2015, 07:39
por gabemreis
Muito obrigado, Olgario! Então minha resolução está correta. Onde você achou esse exercício?
Re: (Facamp-2015) Sistema de Equações com módulo
Enviado: 08 Fev 2015, 16:56
por olgario
Olá, o exercício eu achei no forum pois foi postado por você. Se, pelo contrário, se está referindo à solução que postei sobre o mesmo, essa foi conseguida por meio de uma calculadora TI-nspire CX CAS.