• 🔴 [ENEM 2025 PPL Live 06] Matemática - Resolução de 161 até 165
  • 🔴 [ENEM 2025 PPL Live 05] Matemática - Resolução de 156 até 160
  • 🔴 [ENEM 2025 PPL Live 04] Matemática - Resolução de 151 até 155
  • 🔴 [ENEM 2025 PPL Live 03] Matemática - Resolução de 146 até 150
  • 🔴 [ENEM 2025 PPL Live 02] Matemática - Resolução de 141 até 145
  • 🔴 [ENEM 2025 PPL Live 01] Matemática - Resolução de 136 até 140

Química Orgânica(Fuvest) Hidrólise

Estamos a procura de moderadores para os fóruns de Química.
Se for do seu interesse, envie uma mensagem para o Prof. Caju
Avatar do usuário
poti Offline
4 - Sabe Tudo
Mensagens: 2750
Registrado em: 19 Mai 2010, 18:27
Agradeceu: 388 vezes
Agradeceram: 835 vezes
Nov 2014 18 13:17

(Fuvest) Hidrólise

Mensagem por poti »

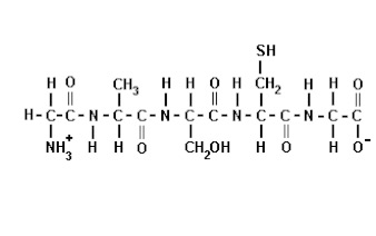
A hidrólise de um peptídeo rompe a ligação peptídica, originando aminoácidos. Quantos aminoácidos diferentes se formam na hidrólise total do peptídeo representado a seguir?
S.jpg
S.jpg (10.86 KiB) Exibido 17090 vezes
a) 2
b) 3
c) 4
d) 5
e) 6
Resposta

c
Editado pela última vez por poti em 18 Nov 2014, 13:17, em um total de 1 vez.
VAIRREBENTA!
Avatar do usuário
VALDECIRTOZZI Offline
5 - Mestre
Mensagens: 2569
Registrado em: 04 Ago 2008, 17:08
Agradeceu: 197 vezes
Agradeceram: 1599 vezes
Nov 2014 19 09:53

Re: (Fuvest) Hidrólise

Mensagem por VALDECIRTOZZI »

Através da condensação de moléculas de [tex3]\alpha -aminoacidos[/tex3] forma-se moléculas de peptídeos e a hidrólise de moléculas de peptídeos produz [tex3]\alpha -aminoacidos[/tex3]:
ligação peptídica_2.jpg
ligação peptídica_2.jpg (14.86 KiB) Exibido 17079 vezes
No do peptídeo do exercícios a hidólise ocorrerá onde indicado pela retas:
ligação peptídica_1.jpg
ligação peptídica_1.jpg (13.35 KiB) Exibido 17079 vezes
Os peptídios das pontas das moléculas são os mesmos, portanto haverá 4 aminoácidos formados.

Espero ter ajudado!
Editado pela última vez por caju em 05 Mar 2025, 14:45, em um total de 2 vezes.
Razão: tex --> tex3
So many problems, so little time!
Avatar do usuário
poti Offline
4 - Sabe Tudo
Mensagens: 2750
Registrado em: 19 Mai 2010, 18:27
Agradeceu: 388 vezes
Agradeceram: 835 vezes
Nov 2014 20 12:10

Re: (Fuvest) Hidrólise

Mensagem por poti »

Uma ponta tem um componente carboxílico e na outra um componente amínimo. Por que são iguais?
VAIRREBENTA!
Avatar do usuário
weder Offline
iniciante
Mensagens: 9
Registrado em: 15 Jan 2015, 00:48
Jan 2016 08 19:32

Re: (Fuvest) Hidrólise

Mensagem por weder »

Elas são iguais, acontece que os aminoácidos sofrem uma reação para formar cadeias polipeptídicas, essa reação é entre o grupo hidroxila do grupo carbonila de um Aminoácido e um hidrogênio do grupamento amino.

Veja: R - CO - OH + H-NH-C-R --> R-CO-NH-C-R
ou melhor:
http://www.infoescola.com/wp-content/up ... tidica.jpg

Esses aminoácidos são o mesmo, pois um sofreu ataque no grupo carbonila e o outro no grupo amino.
Editado pela última vez por weder em 08 Jan 2016, 19:32, em um total de 1 vez.
Responder
  • Tópicos Semelhantes
    Resp.
    Exibições
    Últ. msg

Voltar para “Química Orgânica”