Química Geral ⇒ (FUVEST) Polímeros Tópico resolvido
- juliaoliveira Offline
- Mensagens: 6
- Registrado em: 09 Jun 2015, 06:53
Jun 2015
09
08:55
(FUVEST) Polímeros
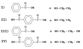
Os poliésteres são polímeros fabricados por condensação de dois monômeros diferentes, em sucessivas reações de esterificação. Dentre os pares de monômeros abaixo,
a) por todos os pares.
b) apenas pelos pares II, III e IV.
c) apenas pelos pares II e III.
d) apenas pelos pares I e IV.
e) apenas pelo par IV.
a) por todos os pares.
b) apenas pelos pares II, III e IV.
c) apenas pelos pares II e III.
d) apenas pelos pares I e IV.
e) apenas pelo par IV.
Editado pela última vez por juliaoliveira em 09 Jun 2015, 08:55, em um total de 2 vezes.
- LucasPinafi Offline
- Mensagens: 1800
- Registrado em: 07 Dez 2014, 00:08
- Agradeceu: 315 vezes
- Agradeceram: 1137 vezes
Jun 2015
09
12:56
Re: Polímeros (FUVEST)
Poliésteres podem ser formados apenas pelo par IV, pois é o único para cujo as moléculas possuem mais de um grupo ácido e álcool.
Ser ̶m̶e̶l̶h̶o̶r̶ pior a cada dia
- juliaoliveira Offline
- Mensagens: 6
- Registrado em: 09 Jun 2015, 06:53
Jun 2015
09
13:37
Re: (FUVEST) Polímeros
ola, muito obrigada... eu achei que todos os outros tinham acido e alcool...
Editado pela última vez por ALDRIN em 18 Ago 2015, 12:49, em um total de 1 vez.
Razão: Arrumar Título
Razão: Arrumar Título
- LucasPinafi Offline
- Mensagens: 1800
- Registrado em: 07 Dez 2014, 00:08
- Agradeceu: 315 vezes
- Agradeceram: 1137 vezes
Jun 2015
09
14:15
Re: Polímeros (FUVEST)
mas tem, só o ultimo tem 2 em cada molécula
Ser ̶m̶e̶l̶h̶o̶r̶ pior a cada dia
- juliaoliveira Offline
- Mensagens: 6
- Registrado em: 09 Jun 2015, 06:53
Jun 2015
09
14:18
Re: (FUVEST) Polímeros
ahhh sim!!! eu pensei q se fosse nessa logica o primeiro tb seria ja que cada do possui um
bjj
bjj
Editado pela última vez por ALDRIN em 18 Ago 2015, 12:49, em um total de 1 vez.
Razão: Arrumar Título
Razão: Arrumar Título
-
- Tópicos Semelhantes
- Resp.
- Exibições
- Últ. msg
-
- 1 Resp.
- 646 Exibições
-
Últ. msg por emanuel9393
-
- 3 Resp.
- 9787 Exibições
-
Últ. msg por Diegooo
-
- 1 Resp.
- 2328 Exibições
-
Últ. msg por gabrielbpf
-
- 1 Resp.
- 1657 Exibições
-
Últ. msg por gabrielbpf
-
- 4 Resp.
- 5306 Exibições
-
Últ. msg por GLAYDSON
![🔴 [ENEM 2025 PPL Live 06] Matemática - Resolução de 161 até 165](/cdn-cgi/image/width=200,dpr=2,quality=85,format=auto,metadata=none,onerror=redirect/https://img.youtube.com/vi/ucQZ6Qn91JM/mqdefault.jpg)
![🔴 [ENEM 2025 PPL Live 05] Matemática - Resolução de 156 até 160](/cdn-cgi/image/width=200,dpr=2,quality=85,format=auto,metadata=none,onerror=redirect/https://img.youtube.com/vi/m2T1rBKy2qU/mqdefault.jpg)
![🔴 [ENEM 2025 PPL Live 04] Matemática - Resolução de 151 até 155](/cdn-cgi/image/width=200,dpr=2,quality=85,format=auto,metadata=none,onerror=redirect/https://img.youtube.com/vi/1scCX1e_dZo/mqdefault.jpg)
![🔴 [ENEM 2025 PPL Live 03] Matemática - Resolução de 146 até 150](/cdn-cgi/image/width=200,dpr=2,quality=85,format=auto,metadata=none,onerror=redirect/https://img.youtube.com/vi/fD8ohgS6JKo/mqdefault.jpg)
![🔴 [ENEM 2025 PPL Live 02] Matemática - Resolução de 141 até 145](/cdn-cgi/image/width=200,dpr=2,quality=85,format=auto,metadata=none,onerror=redirect/https://img.youtube.com/vi/np7jAEKAjTE/mqdefault.jpg)
![🔴 [ENEM 2025 PPL Live 01] Matemática - Resolução de 136 até 140](/cdn-cgi/image/width=200,dpr=2,quality=85,format=auto,metadata=none,onerror=redirect/https://img.youtube.com/vi/vb1b6e7VXjw/mqdefault.jpg)