• 🔴 [ENEM 2025 PPL Live 03] Matemática - Resolução de 146 até 150
  • 🔴 [ENEM 2025 PPL Live 02] Matemática - Resolução de 141 até 145
  • 🔴 [ENEM 2025 PPL Live 01] Matemática - Resolução de 136 até 140
  • 🔴 [ENEM 2025 Belém Live 09] Matemática - Resolução de 176 até 180
  • 🔴 [ENEM 2025 Belém Live 08] Matemática - Resolução de 171 até 175
  • 🔴 [ENEM 2025 Belém Live 07] Matemática - Resolução de 166 até 170

Pré-VestibularUFPR - Bissetriz dos ângulos de 2 retas Tópico resolvido

Poste aqui questões de Vestibulares ou questões que você obteve durante seu estudo para Vestibulares.
Informe a fonte, o ano e o assunto. Exemplo: (FUVEST - 2008) Logaritmos.
Avatar do usuário
Vestibinha Offline
sênior
Mensagens: 48
Registrado em: 10 Abr 2017, 16:00
Agradeceu: 36 vezes
Agradeceram: 2 vezes
Ago 2017 30 14:59

UFPR - Bissetriz dos ângulos de 2 retas

Mensagem por Vestibinha »

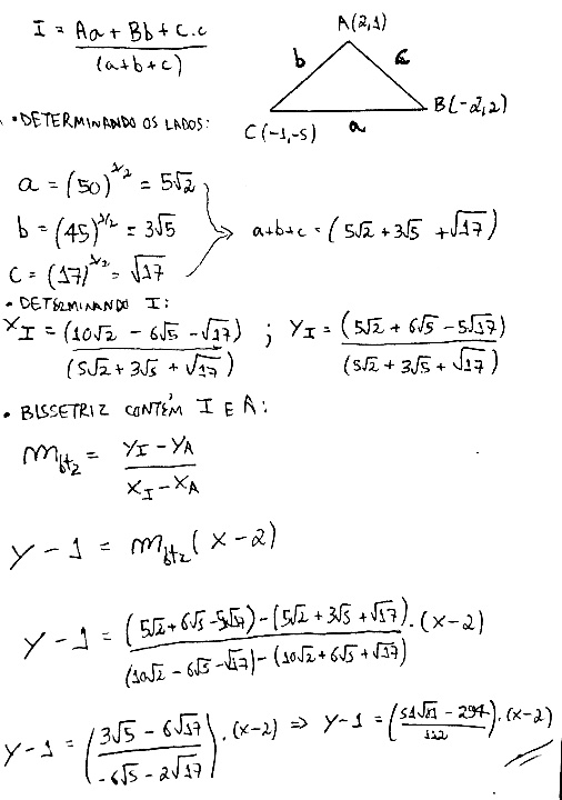
Obter a equação da bissetriz interna do ângulo A do triângulo ABC, A (2,1) , B (-2,2) e C (-1,-5).
Avatar do usuário
fismatpina Offline
2 - Nerd
Mensagens: 218
Registrado em: 26 Jun 2017, 10:29
Agradeceram: 194 vezes
Ago 2017 30 15:25

Re: UFPR - Bissetriz dos ângulos de 2 retas

Mensagem por fismatpina »

Basta encontrar o incentro (encontro das bissetrizes) e depois a reta que contém o incentro e o ponto A é a bissetriz que queremos determinar:
(As contas ficam feias por conta do fórmula do incentro, não deixei na equação inteira da reta mas basta fazer o MMC e multiplicar)
IMG_7366.JPG
IMG_7366.JPG (99.07 KiB) Exibido 1295 vezes
:D
Jack of all trades :wink:
Avatar do usuário
jomatlove Offline
4 - Sabe Tudo
Mensagens: 1051
Registrado em: 05 Jun 2014, 19:38
Localização: Arapiraca-AL
Agradeceu: 92 vezes
Agradeceram: 469 vezes
Ago 2017 31 07:24

Re: UFPR - Bissetriz dos ângulos de 2 retas

Mensagem por jomatlove »

Outra resposta mais simples:
Reta AB:[tex3]y-1=-\frac{1}{4}(x-2)\rightarrow x+4y-6=0[/tex3]
Reta AC:[tex3]y-1=2(x-2)\rightarrow 2x-y-3=0[/tex3]
Bissetriz interna de A:[tex3]\frac{x+4y-6}{\sqrt{1^{2}+4^{2}}}=\frac{2x-y-3}{\sqrt{1^{2}+4^{2}}}\rightarrow x+4y-6=2x-y-3\rightarrow x-5y+3=0[/tex3]

:) :)
Imagination is more important than
knowledge(Albert Einstein)
Responder
  • Tópicos Semelhantes
    Resp.
    Exibições
    Últ. msg

Voltar para “Pré-Vestibular”