• 🔴 [ENEM 2025 PPL Live 05] Matemática - Resolução de 156 até 160
  • 🔴 [ENEM 2025 PPL Live 04] Matemática - Resolução de 151 até 155
  • 🔴 [ENEM 2025 PPL Live 03] Matemática - Resolução de 146 até 150
  • 🔴 [ENEM 2025 PPL Live 02] Matemática - Resolução de 141 até 145
  • 🔴 [ENEM 2025 PPL Live 01] Matemática - Resolução de 136 até 140
  • 🔴 [ENEM 2025 Belém Live 09] Matemática - Resolução de 176 até 180

Química Geral(Faceres Medicina 2014/1) Estequiometria envolvendo impureza Tópico resolvido

Avatar do usuário
Auto Excluído (ID:19479)
Out 2017 14 14:34

(Faceres Medicina 2014/1) Estequiometria envolvendo impureza

Mensagem por Auto Excluído (ID:19479) »

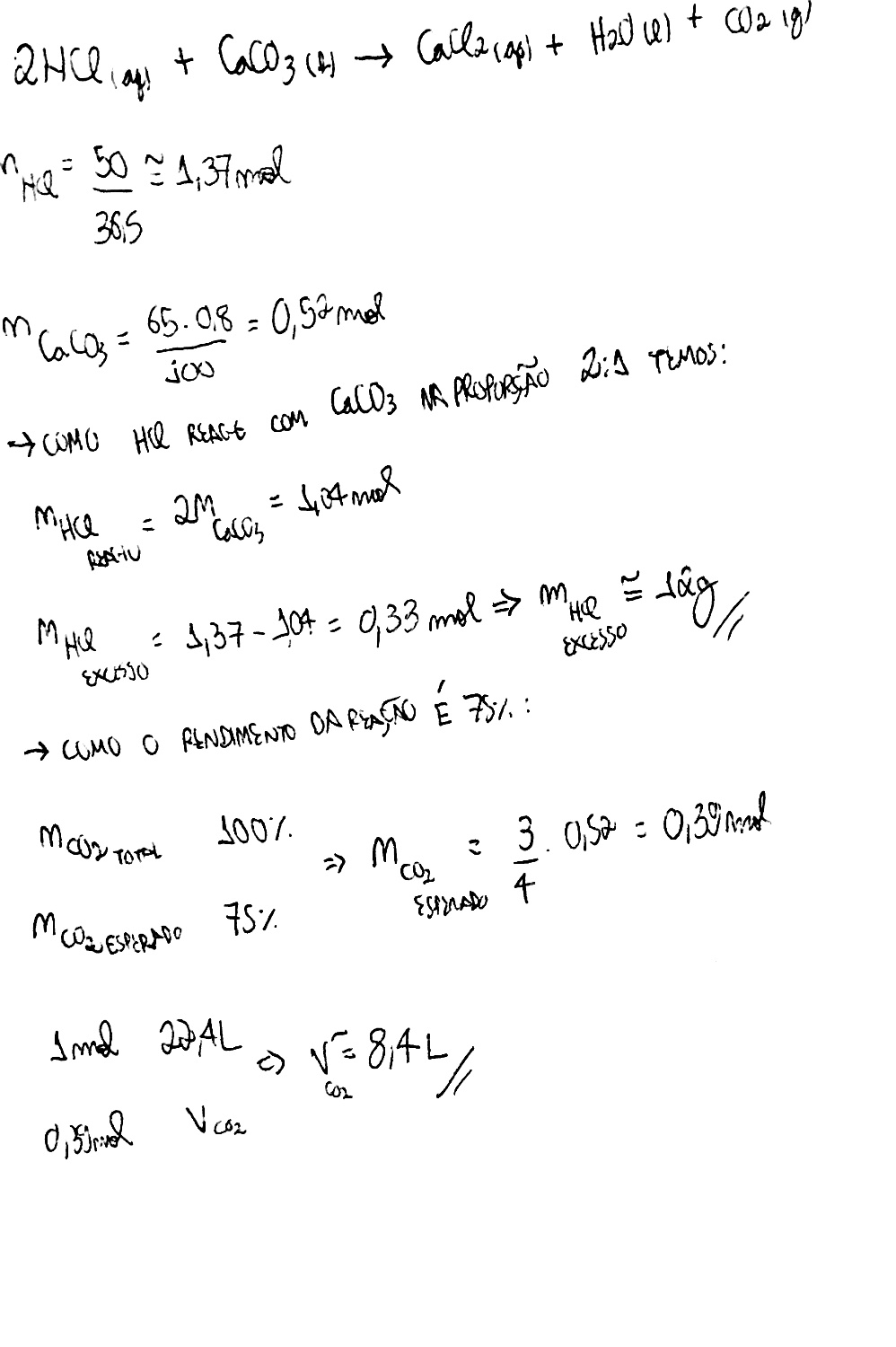
A calcita é um carbonato natural com alta porcentagem de carbonato de cálcio. É amplamente utilizada na indústria para a fabricação de tintas, texturas e cerâmicas. O carbonato de cálcio presente na calcita reage com ácido clorídrico produzindo cloreto de cálcio, água e gás carbônico de acordo com a equação abaixo. Supondo um rendimento de 75%, qual é, respectivamente, o volume de gás formado na CNTP e a massa excedente do reagente em excesso quando 65 g de calcita reagem com 50 g de ácido clorídrico, sabendo-se que a calcita utilizada apresenta 20% de impureza. Dados: Volume molar na CNTP: 22,4 L.
2 HCl (aq) + CaCO3 (s) → CaCl2 (aq) + H2O (l) + CO2 (g)
a) 8,4 L; 2,5 g.
b) 44,8 L; 16,5 g.
c) 8,4 L; 12 g.
d) 10,8 L; 2,5 g.
e) 14,5 L; 9 g.
Resposta

Gabarito é a Letra C
Avatar do usuário
fismatpina Offline
2 - Nerd
Mensagens: 218
Registrado em: 26 Jun 2017, 10:29
Agradeceram: 194 vezes
Out 2017 14 16:43

Re: (Faceres Medicina 2014/1) Estequiometria envolvendo impureza

Mensagem por fismatpina »

036F8E92-D7A7-4FE0-ACDB-D2EAE42E9A48.jpeg
036F8E92-D7A7-4FE0-ACDB-D2EAE42E9A48.jpeg (173.8 KiB) Exibido 1570 vezes
:D
Jack of all trades :wink:
Avatar do usuário
Auto Excluído (ID:19479)
Out 2017 14 16:48

Re: (Faceres Medicina 2014/1) Estequiometria envolvendo impureza

Mensagem por Auto Excluído (ID:19479) »

Fismathina, eu não entendi 0 1,07 mol poderia me explicar?
Responder
  • Tópicos Semelhantes
    Resp.
    Exibições
    Últ. msg

Voltar para “Química Geral”