(Ufsc 2016) Em relação às proposições abaixo, é CORRETO afirmar que:
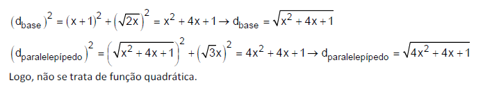
01) No paralelepípedo abaixo, a medida da sua diagonal é expressa por uma função quadrática.
Não entendi essa resolução, a fórmula para a diagonal de um paralalelepípedo é: D = [tex3]\sqrt{a^{2} +b^{2}+ c^{2}}[/tex3]
pq ali está a diagonal do paralelepípedo² = a diagonal da base ao quadrado + [tex3](\sqrt{3x})^2[/tex3]?
Ensino Médio ⇒ (Ufsc 2016) Geometria Espacial Tópico resolvido
- Danibra7000 Offline
- Mensagens: 100
- Registrado em: 26 Jan 2018, 14:51
- Agradeceu: 9 vezes
- Agradeceram: 2 vezes
- petras Offline
- Mensagens: 15789
- Registrado em: 23 Jun 2016, 14:20
- Agradeceu: 1108 vezes
- Agradeceram: 2318 vezes
Nov 2018
26
12:55
Re: (Ufsc 2016) Geometria Espacial
Não há nada de errado. Basta perceber quem é a2+b2
- Anexos
-
- fig03.jpg (29.72 KiB) Exibido 1853 vezes
-
- Tópicos Semelhantes
- Resp.
- Exibições
- Últ. msg
-
- 1 Resp.
- 847 Exibições
-
Últ. msg por petras
-
- 1 Resp.
- 663 Exibições
-
Últ. msg por jose carlos de almeida
-
- 1 Resp.
- 682 Exibições
-
Últ. msg por adrianotavares
-
- 1 Resp.
- 838 Exibições
-
Últ. msg por amanda123
-
- 1 Resp.
- 738 Exibições
-
Últ. msg por goncalves3718
![🔴 [ENEM 2025 PPL Live 03] Matemática - Resolução de 146 até 150](/cdn-cgi/image/width=200,dpr=2,quality=85,format=auto,metadata=none,onerror=redirect/https://img.youtube.com/vi/fD8ohgS6JKo/mqdefault.jpg)
![🔴 [ENEM 2025 PPL Live 02] Matemática - Resolução de 141 até 145](/cdn-cgi/image/width=200,dpr=2,quality=85,format=auto,metadata=none,onerror=redirect/https://img.youtube.com/vi/np7jAEKAjTE/mqdefault.jpg)
![🔴 [ENEM 2025 PPL Live 01] Matemática - Resolução de 136 até 140](/cdn-cgi/image/width=200,dpr=2,quality=85,format=auto,metadata=none,onerror=redirect/https://img.youtube.com/vi/vb1b6e7VXjw/mqdefault.jpg)
![🔴 [ENEM 2025 Belém Live 09] Matemática - Resolução de 176 até 180](/cdn-cgi/image/width=200,dpr=2,quality=85,format=auto,metadata=none,onerror=redirect/https://img.youtube.com/vi/krrZ-ei9zSY/mqdefault.jpg)
![🔴 [ENEM 2025 Belém Live 08] Matemática - Resolução de 171 até 175](/cdn-cgi/image/width=200,dpr=2,quality=85,format=auto,metadata=none,onerror=redirect/https://img.youtube.com/vi/MvNi78z2R8o/mqdefault.jpg)
![🔴 [ENEM 2025 Belém Live 07] Matemática - Resolução de 166 até 170](/cdn-cgi/image/width=200,dpr=2,quality=85,format=auto,metadata=none,onerror=redirect/https://img.youtube.com/vi/X_1EIDOwGVg/mqdefault.jpg)