a)
O vetor aceleração é dado por
[tex3]a(t)=\begin{pmatrix} a_x(t) \\ a_y(t) \end{pmatrix}=\begin{pmatrix} 2,5t^2 \\ 9-1,4t \end{pmatrix}[/tex3]
Integrando de ambos os lados, podemos achar a velocidade. Mas aí você se pergunta, integrar um vetor? Tecnicamente isso é permitido por que o que estamos fazendo oficialmente é integrar cada coordenada do vetor aceleração e juntando em um novo vetor, o vetor velocidade.
[tex3]a(t)=\begin{pmatrix} 2,5t^2 \\ 9-1,4t \end{pmatrix}[/tex3]
[tex3]v'(t)=\begin{pmatrix} 2,5t^2 \\ 9-1,4t \end{pmatrix}[/tex3]
[tex3]\int v'(t)dt=\int\begin{pmatrix} 2,5t^2 \\ 9-1,4t \end{pmatrix}dt[/tex3]
[tex3]v(t)=\begin{pmatrix} {2,5t^3\over3}+v_{x_0} \\ 9t-0,7t^2 +v_{y_0}\end{pmatrix}[/tex3]
Sabemos que quando
[tex3]t=0 \,\text{ s},\,\, v(0)=\begin{pmatrix} 1 \\ 7\end{pmatrix} \text{ m}/\text{s}[/tex3]:
[tex3]v(0)=\begin{pmatrix} {2,5\cdot0^3\over3}+v_{x_0} \\ 9\cdot0-0,7\cdot0^2 +v_{y_0}\end{pmatrix}=\begin{pmatrix} v_{x_0} \\ v_{y_0}\end{pmatrix}=\begin{pmatrix} 1 \\ 7\end{pmatrix}[/tex3]
Assim,
[tex3]v_{x_0}=1 \text{ m}/\text{s}, \,\,v_{y_0}=7 \text{ m}/\text{s}[/tex3]
[tex3] v(t)=\begin{pmatrix} {2,5t^3\over3}+1 \\ 9t-0,7t^2 +7\end{pmatrix}[/tex3]
Repetindo esse processo, podemos achar o vetor posição:
[tex3]v(t)=\begin{pmatrix} {2,5t^3\over3}+1 \\ 9t-0,7t^2 +7\end{pmatrix}[/tex3]
[tex3]s'(t)=\begin{pmatrix} {2,5t^3\over3}+1 \\ 9t-0,7t^2 +7\end{pmatrix}[/tex3]
[tex3]\int s'(t)dt=\int\begin{pmatrix} {2,5t^3\over3}+1 \\ 9t-0,7t^2 +7\end{pmatrix}dt[/tex3]
[tex3]s(t)=\begin{pmatrix} {2,5t^4\over12}+t+s_{x_0} \\ {9t^2\over2}-{0,7t^3\over3} +7t+s_{y_0}\end{pmatrix}[/tex3]
Sabemos que quando
[tex3]t=0 \,\text{ s},\,\, s(0)=\begin{pmatrix} 0 \\ 0\end{pmatrix} \text{ m}[/tex3]:
[tex3]s(0)=\begin{pmatrix} {2,5\cdot0^4\over12}+0+s_{x_0} \\ {9\cdot0^2\over2}-{0,7\cdot0^3\over3} +7\cdot0+s_{y_0}\end{pmatrix}=\begin{pmatrix} s_{x_0} \\ s_{y_0}\end{pmatrix} =\begin{pmatrix} 0 \\ 0\end{pmatrix} [/tex3]
Assim,
[tex3]s_{x_0}=0 \text{ m}, \,\,s_{y_0}=0 \text{ m}[/tex3]
[tex3]s(t)=\begin{pmatrix} {2,5t^4\over12}+t \\ {9t^2\over2}-{0,7t^3\over3} +7t\end{pmatrix}[/tex3]
b)
A altura máxima é dada pela coordenada
[tex3]y[/tex3] do vetor posição. Vamos encontrar o valor máximo dela:
[tex3]h_{máx}=s_{y,máx}[/tex3]
[tex3]s_{y}(t)={9t^2\over2}-{0,7t^3\over3} +7t[/tex3]
Derivando e igualando à zero:
[tex3]s'_{y}(t)=9t-0,7t^2 +7[/tex3]
[tex3]0=-0,7t^2 +9t+7[/tex3]
[tex3]t=\frac{-9\pm\sqrt{9^2-4\cdot(-0,7)\cdot7}}{2\cdot(-0,7)}[/tex3]
[tex3]t=\frac{9\pm\sqrt{100,6}}{1,4}[/tex3]
[tex3]t\approx\frac{9\pm10}{1,4}[/tex3]
Como
[tex3]t\ge0[/tex3], não nos interessa a raiz negativa:
[tex3]t\approx\frac{9+10}{1,4}[/tex3]
[tex3]t\approx 13,6 \text{ s}[/tex3]
Jogando esse resultado na equação da posição:
[tex3]s_{y}(t)={9t^2\over2}-{0,7t^3\over3} +7t[/tex3]
[tex3]h_{máx}\approx s_{y}(13,6)={9(13,6)^2\over2}-{0,7(13,6)^3\over3} +7(13,6)[/tex3]
[tex3]h_{máx}\approx 340,6 \text{ m}[/tex3]
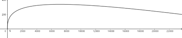
c)

- s(t).png (10.04 KiB) Exibido 2115 vezes
d)
Primeiro, vamos descobrir qual o valor de
[tex3]t[/tex3] quando
[tex3]y=0[/tex3]
[tex3]y=s_y(t)[/tex3]
[tex3]y={9t^2\over2}-{0,7t^3\over3} +7t[/tex3]
[tex3]0=t\left({9t\over2}-{0,7t^2\over3} +7\right)[/tex3]
[tex3]t=0[/tex3] ou
[tex3]{9t\over2}-{0,7t^2\over3} +7=0[/tex3]. Estamos interessados no segundo momento, então vamos estudá-lo.
[tex3]{9t\over2}-{0,7t^2\over3} +7=0[/tex3]
[tex3]27t-1,4t^2+42=0[/tex3]
[tex3]t=\frac{-27\pm\sqrt{27^2-4\cdot(-1,4)\cdot42}}{2\cdot(-1,4)}[/tex3]
Como
[tex3]t>0[/tex3], tomemos apenas a solução positiva:
[tex3]t=\frac{+27+\sqrt{964,2}}{2,8}[/tex3]
[tex3]t\approx \frac{27+31}{2,8}[/tex3]
[tex3]t\approx 20,73 \text{ s}[/tex3]
O alcance horizontal nesse instante é dado por
[tex3]s_x(t)[/tex3]
[tex3]s_x(t)={2,5t^4\over12}+t [/tex3]
[tex3]s_x(20,73)={2,5(20,73)^4\over12}+20,73 [/tex3]
[tex3]s_x(20,73)=38.493 \text{ m}[/tex3]