Polímero17 escreveu: 24 Out 2019, 17:39
41. A produção de ésteres é importante em diversas áreas industriais, como na produção de aromas de alimentos e bebidas, nos detergentes e nos biocombustíveis. Sobre os ésteres é INCORRETO afirmar que:
Por favor, justifique o porque das outras alternativas serem corretas.
Polímero17,
A produção de ésteres é importante em diversas áreas industriais, como na produção de aromas de alimentos e bebidas, nos detergentes e nos biocombustíveis. Sobre os ésteres é INCORRETO afirmar que:
a) A transesterificação é a principal reação de produção de biodiesel usando como matérias-primas os óleos vegetais e gorduras animais.
A principal utilização da reação de transesterificação é na
obtenção do biodiesel. O biodiesel é um biocombustível que pode ser usado como combustível no lugar do diesel, mas com o benefício de poluir menos o meio ambiente, já que não possui compostos do elemento enxofre, que são em grande parte responsáveis pelo agravamento de problemas ambientais, tais como o aquecimento global, o efeito estufa e a chuva ácida. Além disso, o biodiesel ébiodegradável, renovável e não corrosivo.

- obtencao-do-biodiesel.jpg (13.5 KiB) Exibido 1647 vezes
VERDADEIRA.
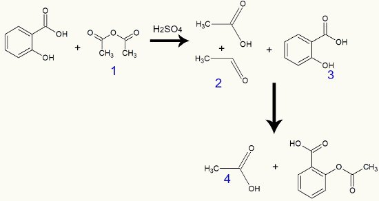
b) A produção do AAS (ácido acetil salicílico ou ácido 2-acetoxibenzóico) é uma reação de produção de éster, pois o ácido 2-hidroxibenzóico, um fenol, reage com anidrido acético na presença de ácido sulfúrico.
Em 1897, o farmacêutico Felix Hoffman, com o aval de seu patrão Bayer, na tentativa de ajudar seu pai que sofria de reumatismo e queixava-se constantemente dos efeitos colaterais provocados pelo uso do ácido salicílico, resolveu realizar uma reação entre esse ácido e o anidrido acético, o que resultou em uma nova droga: o
acido acetilsalicílico. Veja a equação de formação do acido acetilsalicílico:

- sintese-do-acido-acetilsalicilico(1).jpg (13.95 KiB) Exibido 1647 vezes
VERDADEIRA.
c) Formiato de etila e acetato de metila são isômeros de função.
FALSA. Formiato de etila e acetato de metila NÃO são isômeros de função, pois possuem a mesma função (éster).
d) Os cloretos de acila são extremamente reativos e utilizados na produção de ésteres.
Cloretos de acila
são muito reativos. A presença de cloro sobre o carbono da carbonila produz um eletrófilo muito bom, desde que tanto o oxigênio e cloro são fortemente relevantes removedores de elétrons, dando o carbono uma grande carga parcial positiva. Isto significa que um fraco nucleófilo pode atacar o carbono. Desde que um íon cloro é um bom grupo lábil, ele irá prontamente substituí-lo com o nucleófilo. Cloretos de acila podem ser usados para preparar qualquer derivado de ácido carboxílico: um anidrido de ácido, um éster ou uma amida por reagir um cloreto de ácido com: um sal de um ácido carboxílico, um álcool ou um reagente de Gilman (composto ditiorganocobre de lítio), respectivamente. Na maioria destas reações, HCl (cloreto de hidrogênio ou ácido clorídrico) é também formado do cloro no cloreto de acila combinando com um hidrogênio do reactante.
De maneira geral:
R-COCl + HO-H → R-COOH + HCl
VERDADEIRA.
e) O polietilenotereftalato (PET), utilizado em garrafas de refrigerante, é produzido em uma reação de esterificação entre um ácido (ácido
tereftálico) e um álcool (etilenoglicol).

- obtencao-do-pet(1).jpg (16.9 KiB) Exibido 1647 vezes
VERDADEIRA.
REFERÊNCIAS:
Reações de Transesterificação
https://brasilescola.uol.com.br/quimica ... icacao.htm
HOME QUÍMICA CURIOSIDADES DE QUÍMICA ÁCIDO ACETILSALICÍLICO (ASPIRINA)
Ácido acetilsalicílico (aspirina)
https://alunosonline.uol.com.br/quimica ... irina.html
Cloreto de acila
Origem: Wikipédia, a enciclopédia livre.
https://pt.wikipedia.org/wiki/Cloreto_de_acila