Pré-Vestibular ⇒ Potência de expoente real/Questão desconhecida Tópico resolvido
Abr 2021
08
16:04
Potência de expoente real/Questão desconhecida
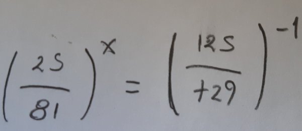
Calcule:[tex3](25/81)^{x} = (125/729)^{-1}[/tex3]
- NathanMoreira Offline
- Mensagens: 439
- Registrado em: 11 Out 2020, 19:21
- Agradeceram: 3 vezes
Abr 2021
08
17:13
Re: Potência de expoente real/Questão desconhecida
@Harison ,
[tex3]\left(\frac{25}{81}\right)^x=\left(\frac{125}{729}\right)^{-1}[/tex3]
Para resolvermos esse tipo de exercício, o que precisamos fazer é igualar as bases, portanto, vamos fazer isso:
[tex3]\left(\frac{5^2}{3^4}\right)^x=\left(\frac{5^3}{3^6}\right)^{-1}[/tex3]
[tex3]\left[\frac{5^2}{(3^2)^2}\right]^x=\left[\frac{5^3}{(3^2)^3}\right]^{-1}[/tex3]
[tex3]\left[\frac{5}{(3^2)}\right]^{2.x}=\left[\frac{5}{(3^2)}\right]^{-3}[/tex3]
Portanto, como as bases são iguais:
[tex3]2.x=-3[/tex3]
[tex3]{\color{red}\boxed{x=-\frac{3}{2}}}[/tex3]
[tex3]\left(\frac{25}{81}\right)^x=\left(\frac{125}{729}\right)^{-1}[/tex3]
Para resolvermos esse tipo de exercício, o que precisamos fazer é igualar as bases, portanto, vamos fazer isso:
[tex3]\left(\frac{5^2}{3^4}\right)^x=\left(\frac{5^3}{3^6}\right)^{-1}[/tex3]
[tex3]\left[\frac{5^2}{(3^2)^2}\right]^x=\left[\frac{5^3}{(3^2)^3}\right]^{-1}[/tex3]
[tex3]\left[\frac{5}{(3^2)}\right]^{2.x}=\left[\frac{5}{(3^2)}\right]^{-3}[/tex3]
Portanto, como as bases são iguais:
[tex3]2.x=-3[/tex3]
[tex3]{\color{red}\boxed{x=-\frac{3}{2}}}[/tex3]
Dou aulas particulares de matemática.
Para mais informações, entre em contato comigo:
Whatsapp: (18) 99164-4128
Para mais informações, entre em contato comigo:
Whatsapp: (18) 99164-4128
-
- Tópicos Semelhantes
- Resp.
- Exibições
- Últ. msg
-
- 1 Resp.
- 4207 Exibições
-
Últ. msg por NathanMoreira
-
- 1 Resp.
- 4506 Exibições
-
Últ. msg por NathanMoreira
-
- 2 Resp.
- 3651 Exibições
-
Últ. msg por LucasPinafi
![🔴 [ENEM 2025 PPL Live 05] Matemática - Resolução de 156 até 160](/cdn-cgi/image/width=200,dpr=2,quality=85,format=auto,metadata=none,onerror=redirect/https://img.youtube.com/vi/m2T1rBKy2qU/mqdefault.jpg)
![🔴 [ENEM 2025 PPL Live 04] Matemática - Resolução de 151 até 155](/cdn-cgi/image/width=200,dpr=2,quality=85,format=auto,metadata=none,onerror=redirect/https://img.youtube.com/vi/1scCX1e_dZo/mqdefault.jpg)
![🔴 [ENEM 2025 PPL Live 03] Matemática - Resolução de 146 até 150](/cdn-cgi/image/width=200,dpr=2,quality=85,format=auto,metadata=none,onerror=redirect/https://img.youtube.com/vi/fD8ohgS6JKo/mqdefault.jpg)
![🔴 [ENEM 2025 PPL Live 02] Matemática - Resolução de 141 até 145](/cdn-cgi/image/width=200,dpr=2,quality=85,format=auto,metadata=none,onerror=redirect/https://img.youtube.com/vi/np7jAEKAjTE/mqdefault.jpg)
![🔴 [ENEM 2025 PPL Live 01] Matemática - Resolução de 136 até 140](/cdn-cgi/image/width=200,dpr=2,quality=85,format=auto,metadata=none,onerror=redirect/https://img.youtube.com/vi/vb1b6e7VXjw/mqdefault.jpg)
![🔴 [ENEM 2025 Belém Live 09] Matemática - Resolução de 176 até 180](/cdn-cgi/image/width=200,dpr=2,quality=85,format=auto,metadata=none,onerror=redirect/https://img.youtube.com/vi/krrZ-ei9zSY/mqdefault.jpg)